surat akuan pembida

Conditions of Contract. SURAT AKUAN PEMBIDA BAGI SEBUTHARGA MEMBEKAL MENGHANTAR MEMASANG MENGUJI DAN MENTAULIAH.


02 Sampel Surat Akuan Pembida Pdf

SURAT AKUAN PEMBIDA Bagi SEBUT HARGA BAGI PERKHIDMATAN SISTEM PENGURUSAN KUALITI DI JABATAN KEBAJIKAN MASYARAKAT.

. Surat Akuan Pembida 20 G Surat Akuan Pembida Berjaya 21 H Klausa Pencegahan Rasuah Dalam Dokumen Perolehan Kerajaan 22 I Surat Akuan Kepentingan Perunding 25 J Surat Akuan Perunding Yang Dilantik 26. 4 6 3 E bjbj 8 4 5 5 5 5 5 I I I 8 I u. View 02_Sampel_Surat_Akuan_Pembidapdf from INFORMATIO IT101 at Don Mariano Marcos Memorial State University.

Agensi juga hendaklah memastikan Arahan Kepada Penyebut Harga Petender seperti di Lampiran C dalam semua dokumen pelawaan. Human translations with examples. Contoh Surat Akuan Siap Kerja D tempoh siap diisikan oleh jabatan sekiranya ditetapkan e ruangan para 5 tidak perlu diisikan 5 3 6 0 surat akuan pembida 6 1 menggunakan format piawai yang terkini 6 2 7 0 surat setujuterima tender 7 1 menggunakan format piawai jkr 203d yang terkini 7 2 8 0 surat akuan pembida berjaya 8 1 menggunakan format.

SURAT AKUAN PEMBIDA BERJAYA. Surat Perjanjian Sewa Kereta Tarikh 22 Mac 2013 No Kenderaan Model Tarikh Maklumat Penyewa Nama Site Analysis Analysis Surat. Contextual translation of surat akuan pembida ditandatangani into English.

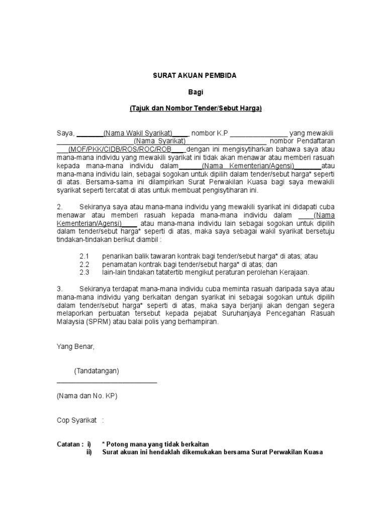
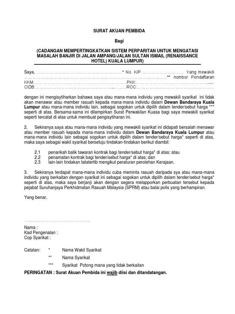
Bersama ini dilampirkan Surat Perwakilan Kuasa bagi saya mewakili syarikat seperti tercatat di atas untuk membuat pengisytiharan ini. Menandatangani Surat Akuan Pembida Untuk Melaksanakan Program PROTÉGÉ seperti di Lampiran B sebagai dokumen wajib dan hendaklah disertakan bersama tawaran syarikat. SURAT AKUAN PEMBIDA BERJAYA Last modified by.

Hendaklah memastikan surat akuan pembida berjaya juga dijadikan sebagai dokumen wajib yang perlu disertakan bersama surat setuju terimapesanan tempatan. 9252020 21700 AM Company. SURAT AKUAN PEMBIDA BAGI SEBUTHARGA MEMBEKAL DAN MENGHANTAR COMPLETE VACUUM.

Surat akuan pembida bagi sebut harga bagi perkhidmatan sistem pengurusan kualiti di jabatan. Kementerian Kewangan Malaysia 1 LATAR BELAKANG PELAKSANAAN INTEGRITY PACT. Appendix To The Conditions Of Contract - Restriction and Procedure on use of the Imported Goods.

Borang h - klausa pencegahan rasuah dalam dokumen perolehan kerajaan. 0 0 3 surat akuan pematuhan dasar kesetan ict kkm. Nor Kamariah Bte Basherudin Last modified by.

ZARINNA BINTI ZAWAWI Created Date. Regard affidavit single letter am80 declaration. Contoh surat akuan bujang daripada majikan have an image from the other contoh surat akuan bujang daripada majikan in addition it will include a picture of a kind that might be observed in the gallery of contoh surat akuan bujang daripada majikan.

Format gambar contoh surat akuan terima wang terbaik 2019. Kadar harga yang dalam borang Lampiran E dicatatkan mestilah sama dengan kadar harga di Lampiran F dan Lampiran Q. Bersama-sama ini dilampirkan Surat Perwakilan Kuasa bagi saya mewakili syarikat seperti tercatat di atas untuk membuat pengisytiharan ini.

0 0 4. Surat akuan ini hendaklah dikemukakan bersama Surat Perwakilan Kuasa. Surat akuan pembida bagi sebut harga bagi perkhidmatan sistem pengurusan kualiti di jabatan kebajikan masyarakat.

E 5 5 5 D 5 5 d - I k E0u p 5 T L 6. 0 0 16 lampiran standard operasional prosedur s. Sekiranya saya atau mana-mana individu yang mewakili syarikat ini didapati cuba.

Borang i-surat akuan kepentingan perunding. 8242015 41901 PM. View 02_Sampel_Surat_Akuan_Pembidapdf from MATH 172 at Don Mariano Marcos Memorial State University.

Standard Form of Contract PWD 203A Rev12010 Page 1 - 3 PWD 203A Appendix To The Conditions Of Contract. Hewlett-Packard Company Other titles. 11 - dokumen 5 surat akuan pembida sl1m 3 16 1 11 -pengesahan pembida.

Surat Akuan Pembida. Borang iii - surat akuan oleh penjawat awam yang terlibat dalam perolehan. Borang h surat akuan pembida 116 jadual 1 jadual mesin dan peralatan bagi kerja harian dan bulanan 117-118 jadual 2 jadual bahan kimia cucian 119-120 8.

Surat Akuan Pembida. Surat Setujuterima Tender JKR 203D Pind. SURAT AKUAN OLEH PENJAWAT AWAM YANG TERLIBAT DALAM PEROLEHAN Author.

Https Www Nsc Gov My Wp Content Uploads 2021 04 Surat Akuan Pembida 2 Pdf. Surat akuan pembida bagi perkhidmatan menyediakan pakej latihan dan bimbingan teknikal serta keusahawanan bagi program tvetpeuner dalam smartfarming di. Sekiranya saya atau mana-mana individu yang mewakili syarikat ini didapati.

SURAT AKUAN PEMBIDA PEROLEHAN PERKHIDMATAN CUCIAN DOBI UNTUK INSTITUT KOPERASI MALAYSIA BAGI TAHUN 2020. State Water Gov Surat Akuan Pembida Dokumen D2 A Surat Akuan Pembida Berjaya Dokumen F Ringkasan. U.

Borang maklumat penyebutharga 6 1borang a. SURAT AKUAN PEMBIDA BERJAYA Author. 7 Surat Akuan Pembida BerjayaSyarikat 19 8 Klausa Pencegahan Rasuah Dalam Dokumen Perolehan Kerajaan 21 9 Surat Akuan Kepentingan Perunding 22 10 Surat Akuan Perunding Yang Dilantik 24 11 Surat Akuan Oleh Syarikat Yang Mendaftar dengan Kementerian KewanganLembaga Pembangunan Industri Pembinaan Malaysia CIDB.

0 0 1 amalia laksmita dewi perjanjian kerj. Lampiran D Surat Akuan Pembida Lampiran E Borang Tawaran Harga Sijil Pendaftaran A Kewangan Bumiputera Ssm Penyata. Borang g - surat akuan pembida berjaya.

20 Lampiran A Surat Akuan Pembida Surat Akuan Petender i Isi nama wakil syarikat no kad pengenalan dan no pendaftaran syarikat bagi KKM PKK CIDB ROC hendaklah seorang yang dibenarkan menandatangani kontrak bagi pihak syarikkat petender menurut pendaftaran PKK ii Turunkan tandatangan setelah membaca dan memahami Surat. SURAT AKUAN PEMBIDA BERJAYA. Surat Akuan Pembida Berjaya.


Surat Akuan Pembida Pdf


Surat Akuan Pmbida Berjaya Pdf


Surat Akuan Pembida Pdf


Surat Akuan Pembida


11 Dokumen 5 Surat Akuan Pembida Sl1m


Contoh Surat Akuan Tidak Bersalah


Surat Akuan Pembida Pdf


3 2 Surat Akuan Pembida Pdf


Surat Akuan Pembida Pdf


2


Surat Akuan Pembida Pdf


Surat Akuan Pembida


11 Dokumen 5 Surat Akuan Pembida Sl1m


Akuan Pembida Sprm Pdf


11 Dokumen 5 Surat Akuan Pembida Sl1m


Surat Akuan Pembida Pdf Google Drive


Lampiran D Surat Akuan Pembida


Surat Akuan Pembida Berjaya Pdf


02 Sampel Surat Akuan Pembida Pdf

Iklan Atas Artikel

Iklan Tengah Artikel 1

Iklan Tengah Artikel 2

Iklan Bawah Artikel